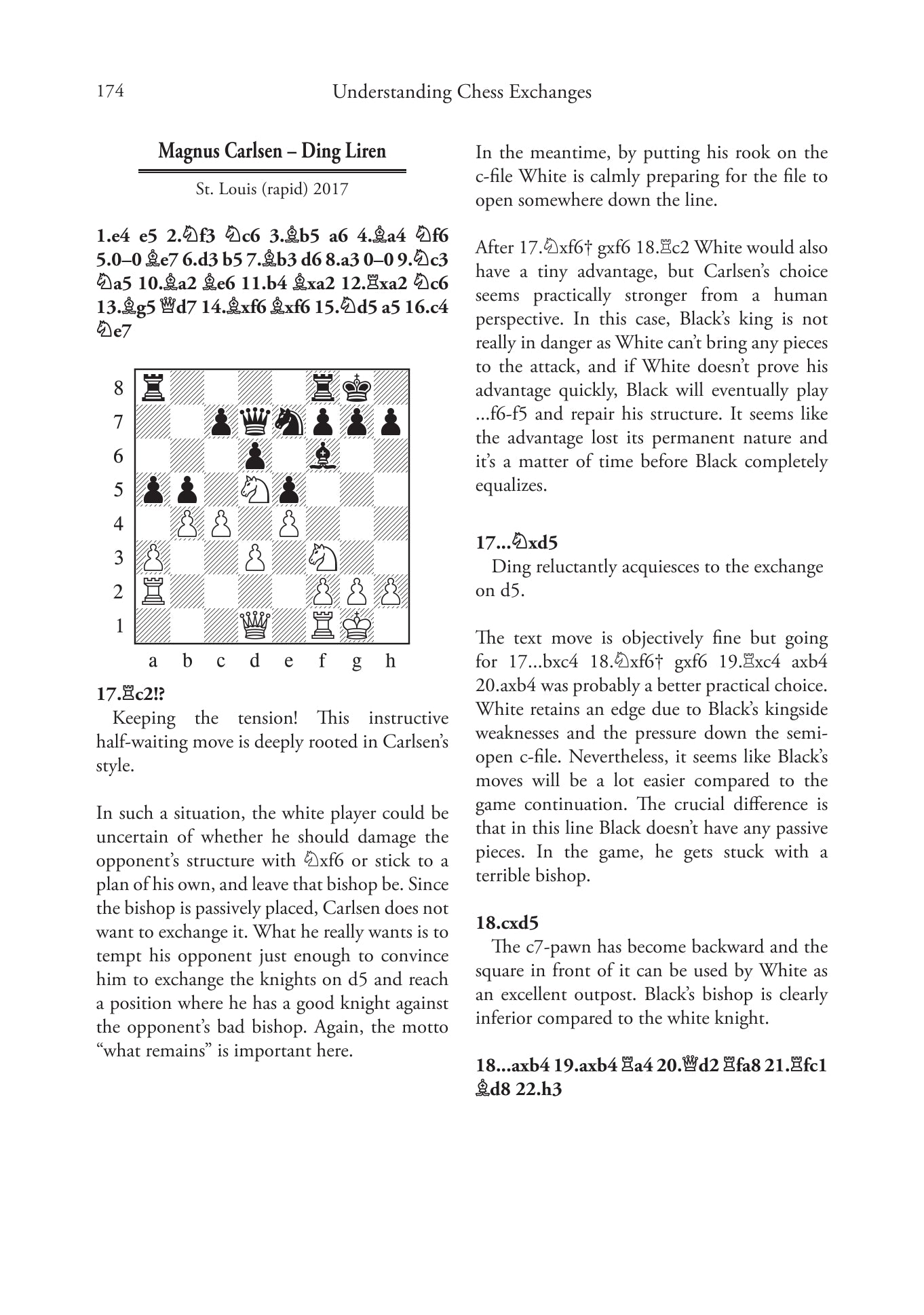
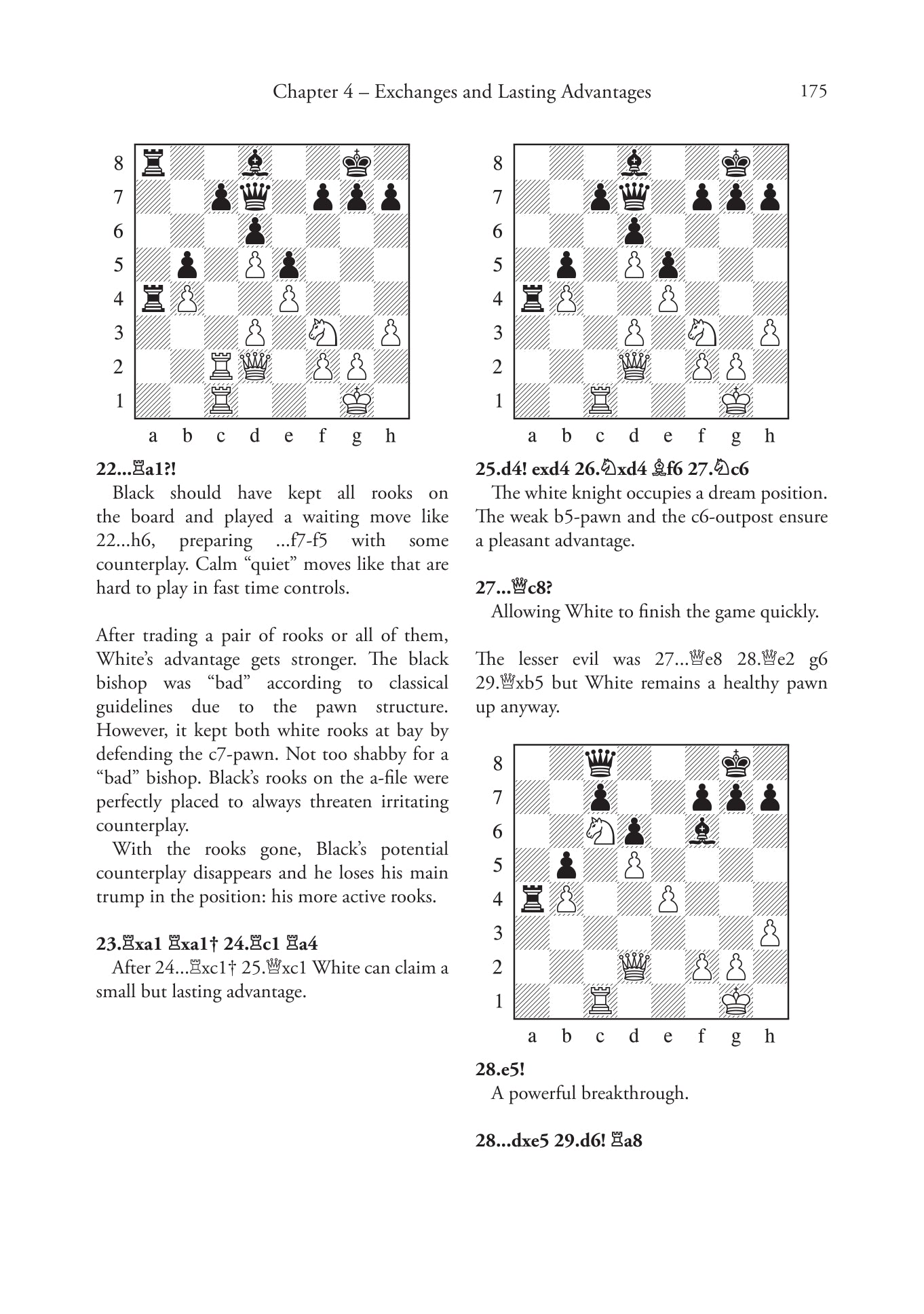
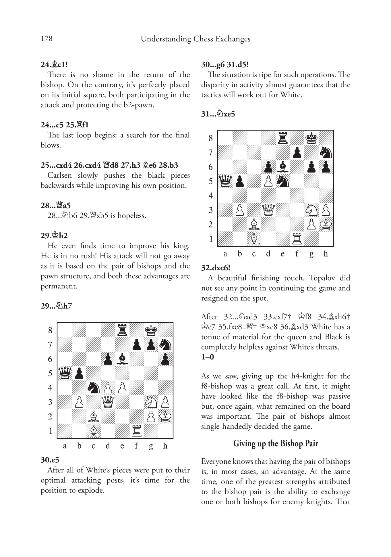
Understanding Chess Exchanges by Bagheri & Salehzadeh
¿Alguna vez te has preguntado cómo los grandes maestros del ajedrez siempre parecen saber qué piezas hay que cambiar? ¿O cómo influye en un ataque el número de piezas que hay en el tablero? ¿Cuándo debemos mantener las reinas y cuándo debemos pasar al final de la partida?
Understanding Chess Exchanges comparte conocimientos expertos sobre el uso de los intercambios como arma estratégica. Tus nuevos conocimientos se pondrán a prueba con ejercicios extraídos de la práctica moderna de élite. Con un enfoque particular en Magnus Carlsen, el maestro de los intercambios, este libro revela los principios que subyacen a una parte vital de la estrategia del ajedrez.
El dominio del ajedrez es el arte de saber cuándo hay que seguir los principios y cuándo hay que romperlos. Este libro te garantiza que no solo te familiarizarás con las pautas típicas, sino que también aprenderás sus excepciones. Repleto de consejos, principios y recomendaciones prácticas, Understanding Chess Exchanges es un recurso inestimable para el arsenal de cualquier ajedrecista.
Añade una caja de regalo, un grabado —o ambos— para que sea realmente especial.
Cómpralo con
El grabado de los juegos de ajedrez
€9,00
€10,00
Precisión tangible
Cada jugada refuerza la curiosidad, la concentración y la confianza en uno mismo.










