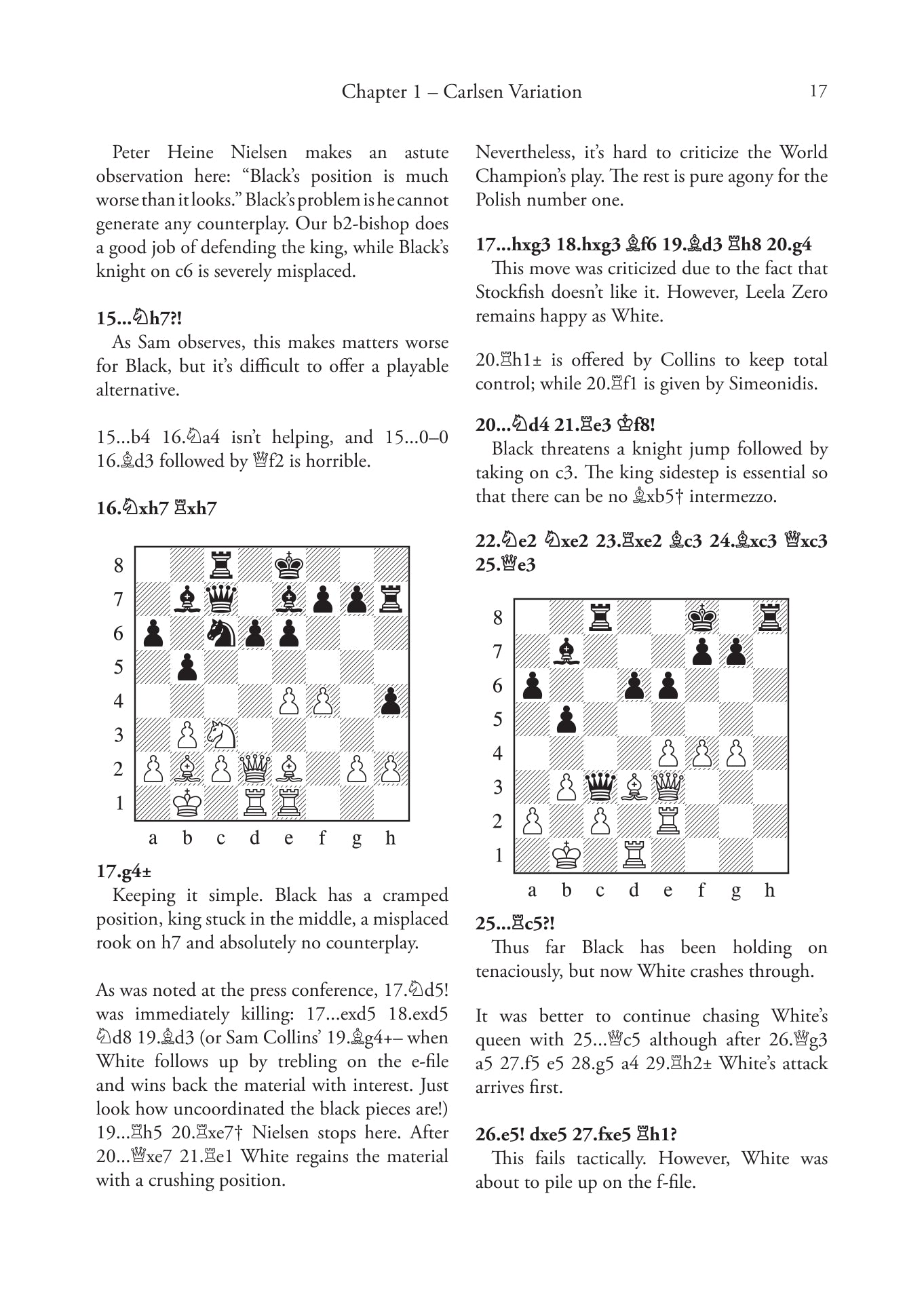
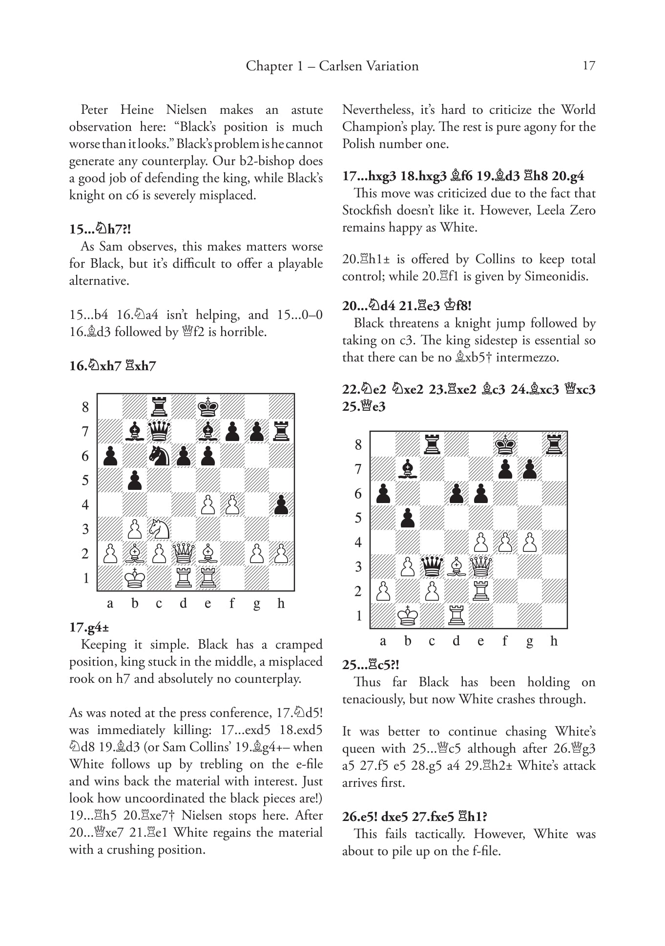
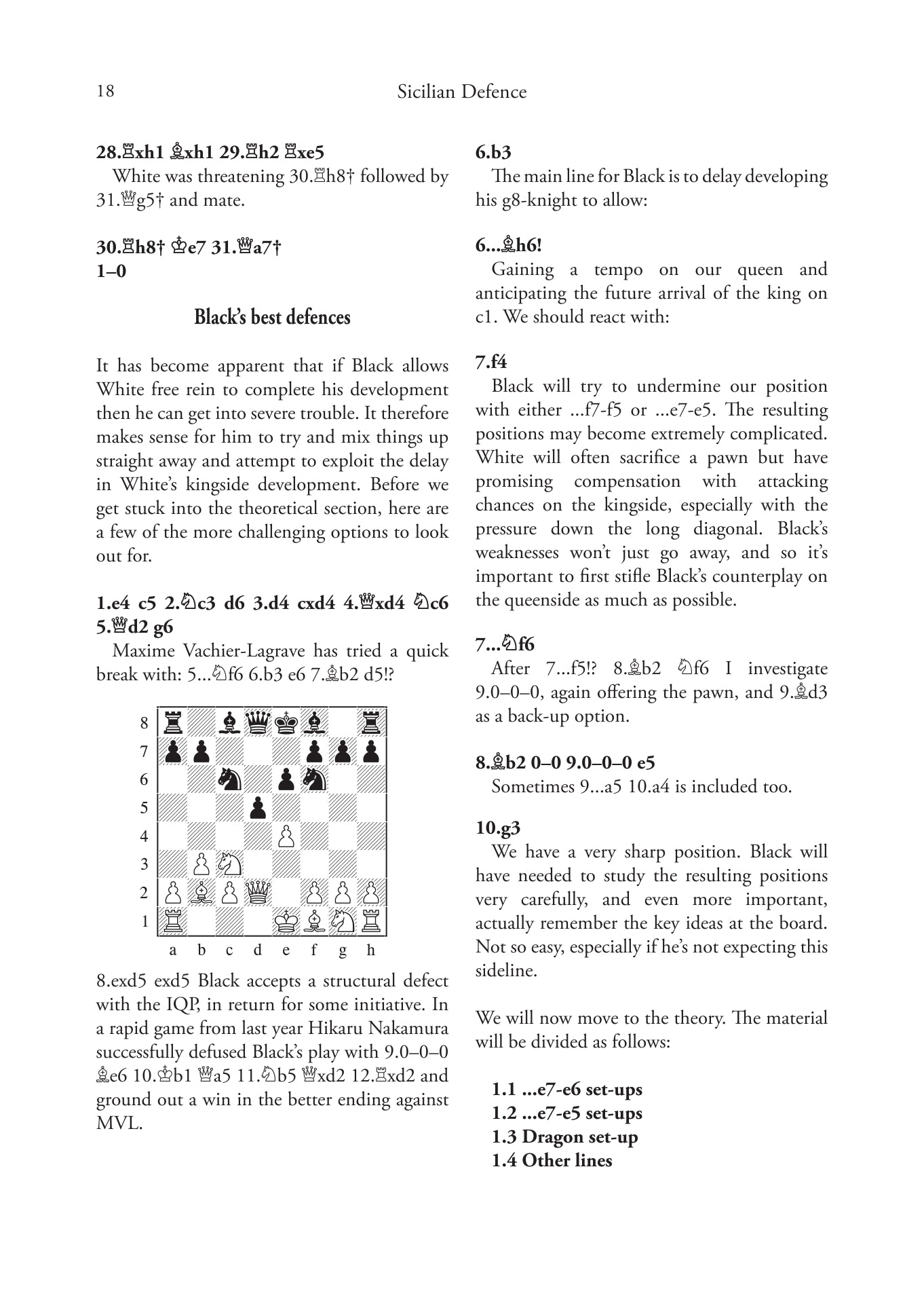
Coffeehouse Repertoire 1.e4 Volume 1 by Gawain Jones (hardcover)
GM Gawain Jones y GM Jacob Aagaard sobre Pensar en voz alta en el entrenamiento de ajedrez asesino.
Coffeehouse Repertoire es el sueño de cualquier jugador de 1.e4: un arsenal de ideas de un gran maestro de talla mundial para sorprender y confundir a sus rivales, combinando trucos de cafetería con una completa solidez teórica.
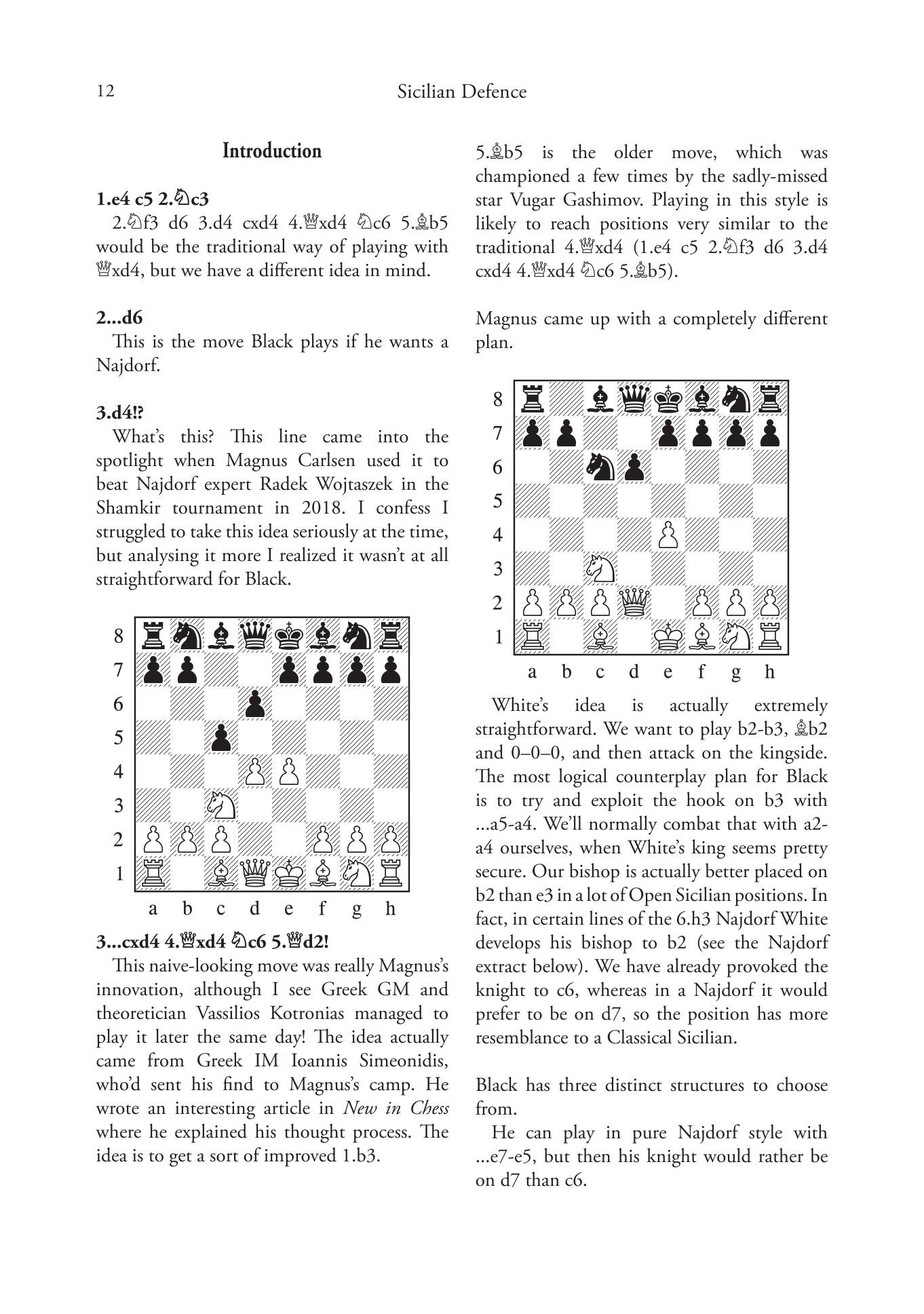
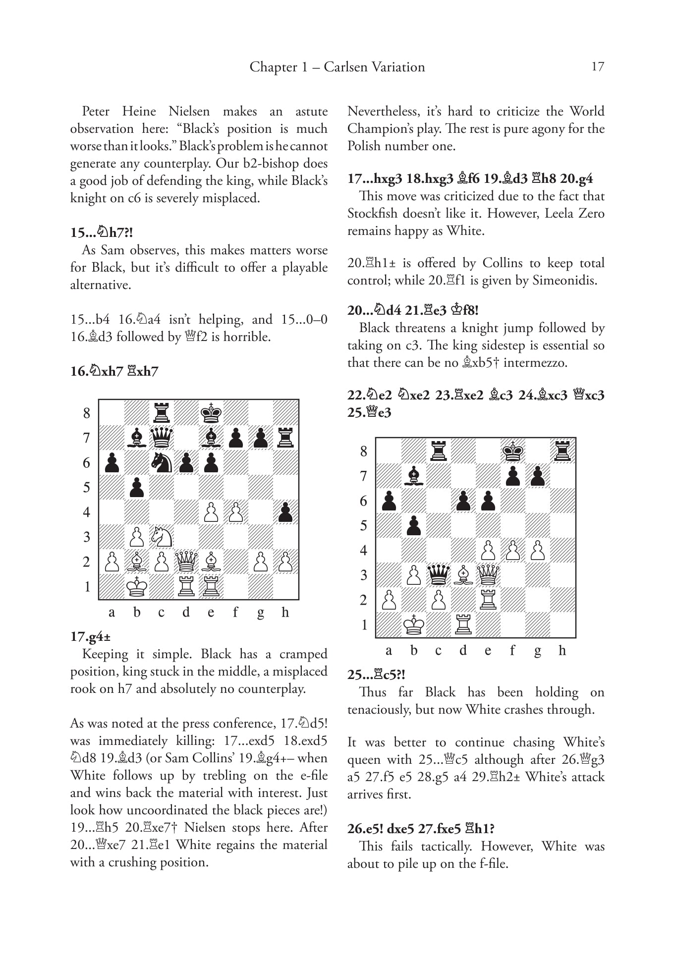
En el Volumen 1, el GM Gawain Jones muestra cómo presionar a las defensas Siciliana, Caro-Kann, Escandinava y Alekhine, empleando líneas que presentan una potente combinación de valor sorpresa, solidez objetiva y eficacia práctica.
El Repertorio Coffeehouse 1.e4 se completará en el Volumen 2, que abarca 1...e5, además de las Defensas Francesa, Pirc, Moderna, Philidor y otras diversas.
Gawain Jones es un gran maestro inglés, dos veces campeón británico y ganador del Campeonato Europeo Blitz 2020. Ha derrotado a algunos de los mejores jugadores del mundo utilizando las ideas recomendadas en este libro.
432 páginas - Publicado el 30 de junio de 2021
Rústica ISBN: 978-1-78483-145-5
Añade una caja de regalo, un grabado —o ambos— para que sea realmente especial.
Cómpralo con
El grabado de los juegos de ajedrez
€9,00
€10,00
Precisión tangible
Cada jugada refuerza la curiosidad, la concentración y la confianza en uno mismo.















