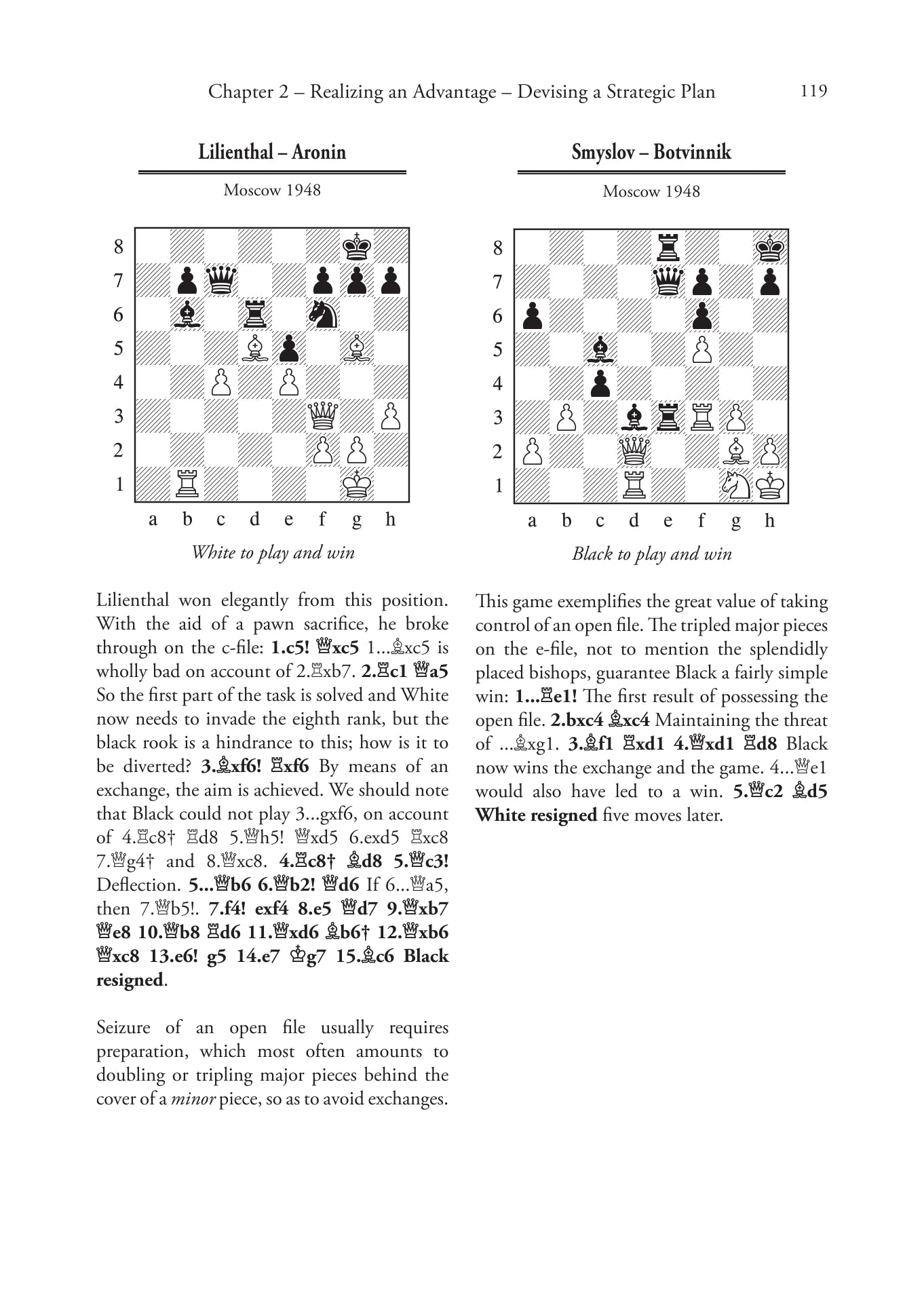
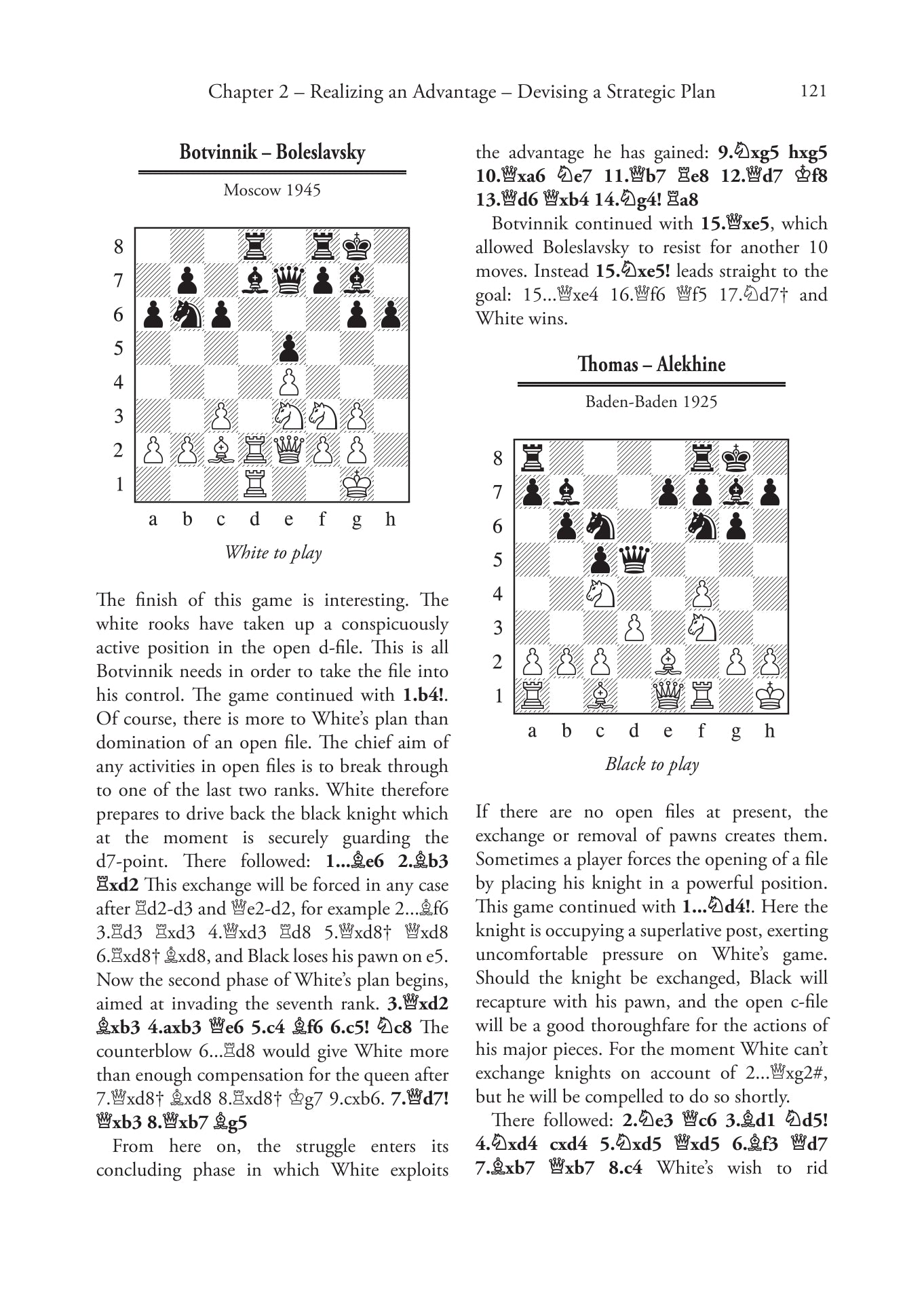
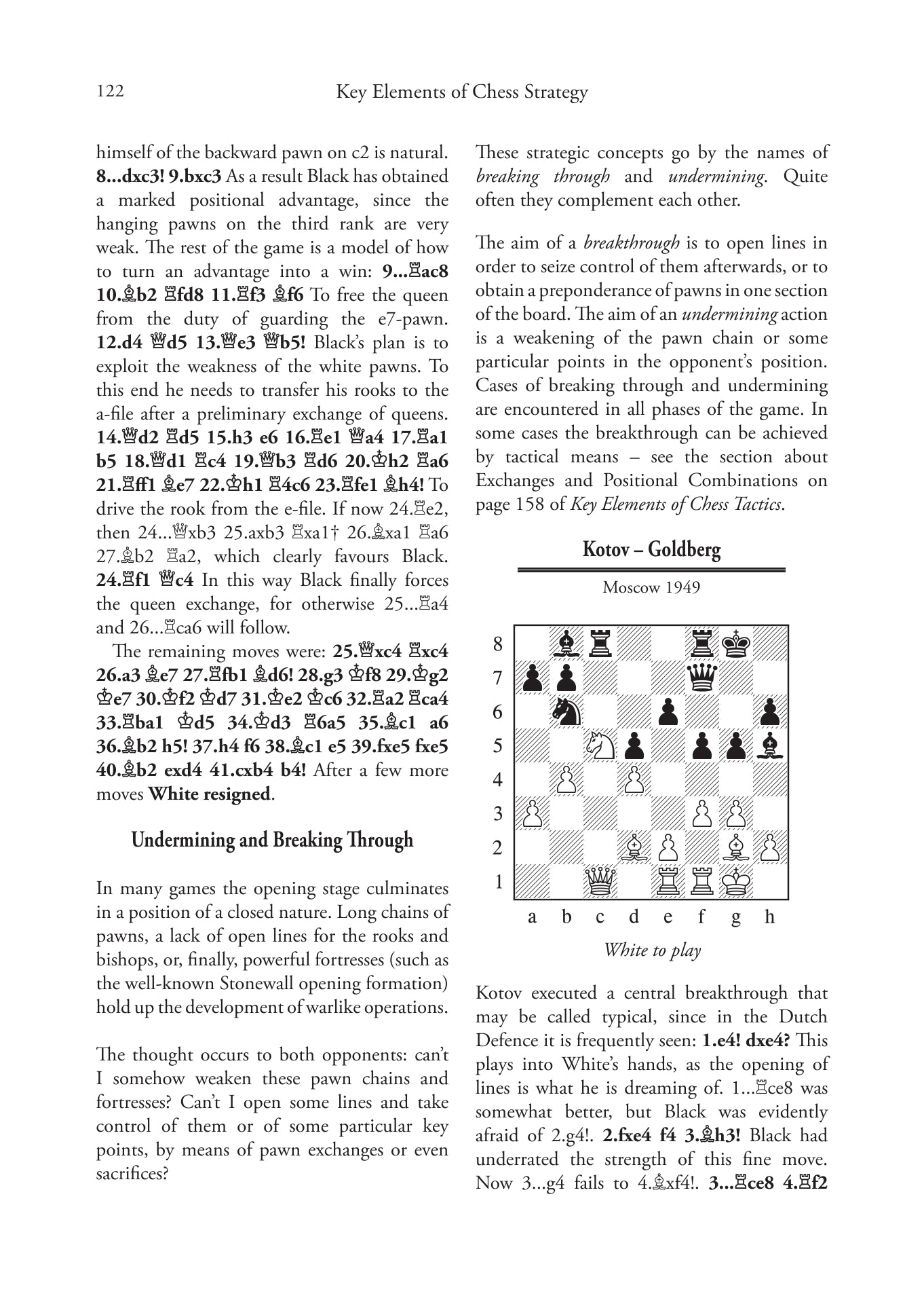
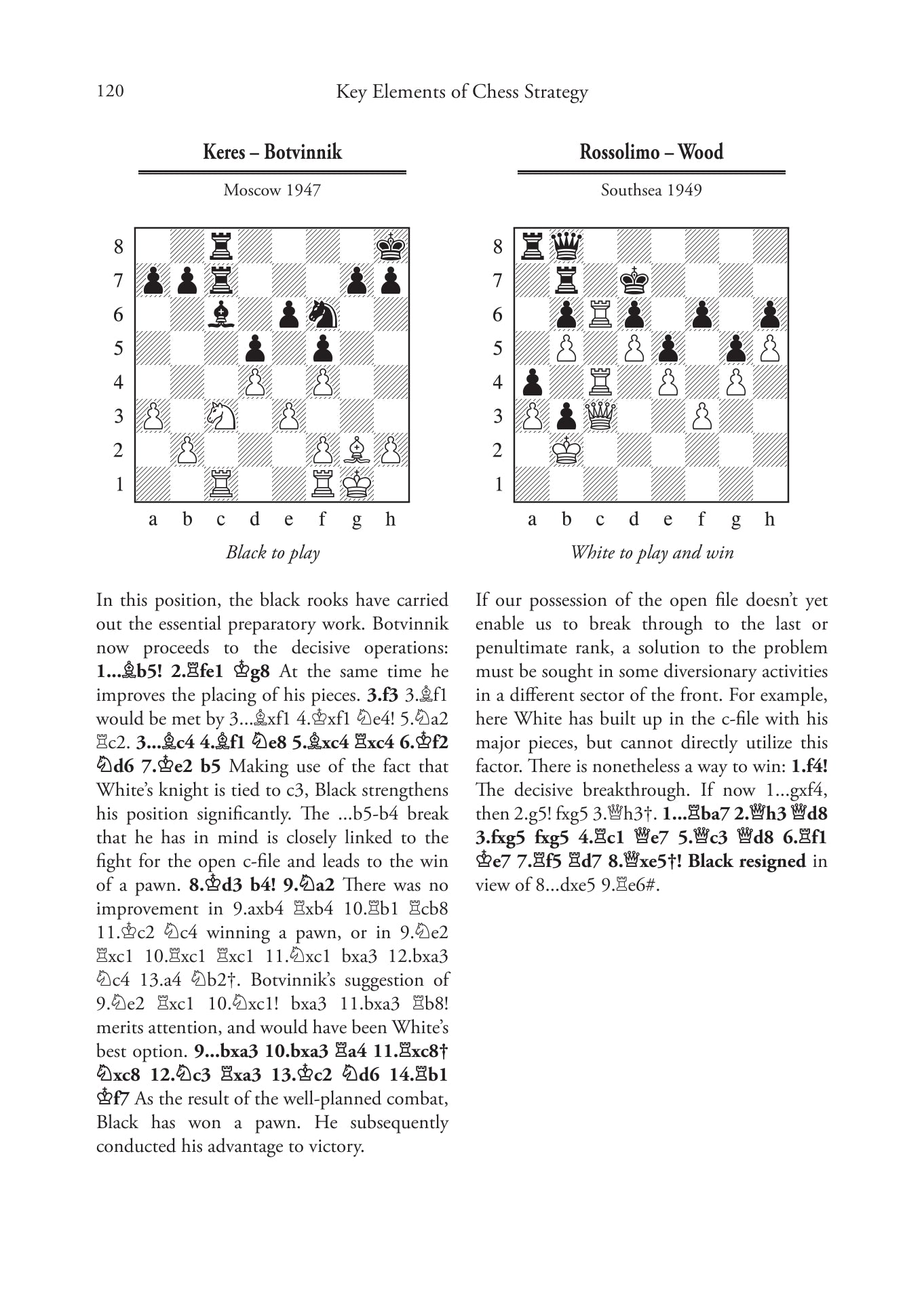
Key Elements of Chess Strategy by Georgy Lisitsin
Georgy Lisitsin ( 1909-72) fue un respetado maestro, teórico y escritor soviético. En 1958 publicó una edición revisada de su obra más ambiciosa, titulada Estrategia y táctica del ajedrez, que se convirtió en uno de los manuales más legendarios de la escuela soviética de ajedrez y, sin duda, uno de los libros que motivó al joven Bobby Fischer a aprender ruso.
Lisitsin desglosó Estrategia y táctica en sus elementos constitutivos clave, lo que permitió a jugadores de todos los niveles estudiar el ajedrez de forma sistemática, aprendiendo de fragmentos de partidas y estudios cuidadosamente seleccionados. Elementos clave de la estrategia del ajedrez y su volumen complementario Elementos clave de la táctica del ajedrez son las primeras traducciones completas al inglés de la obra clásica de Lisitsin.
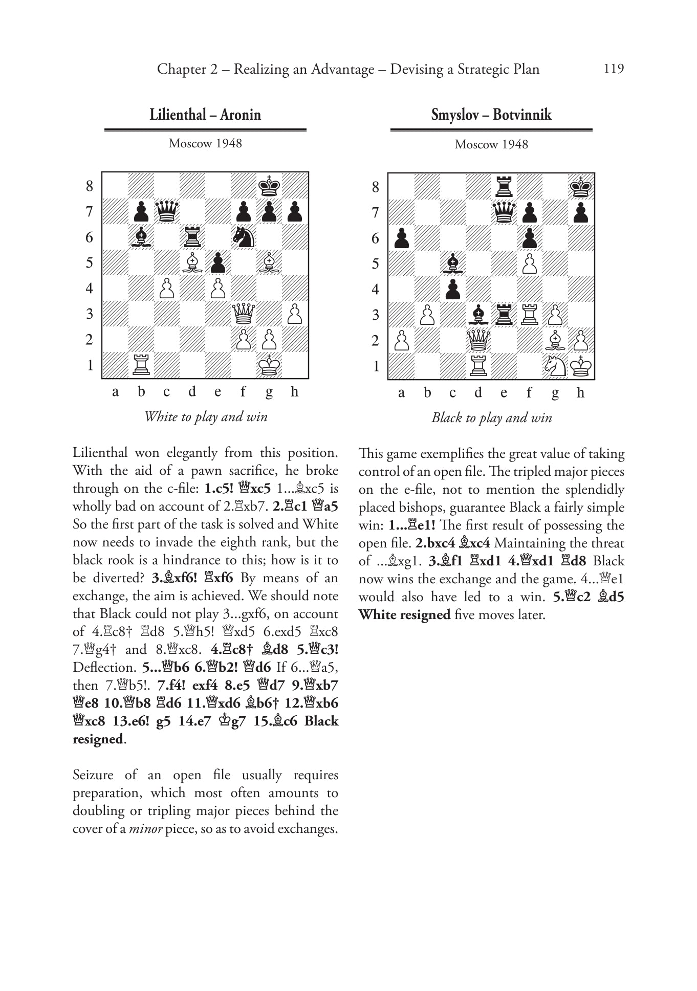
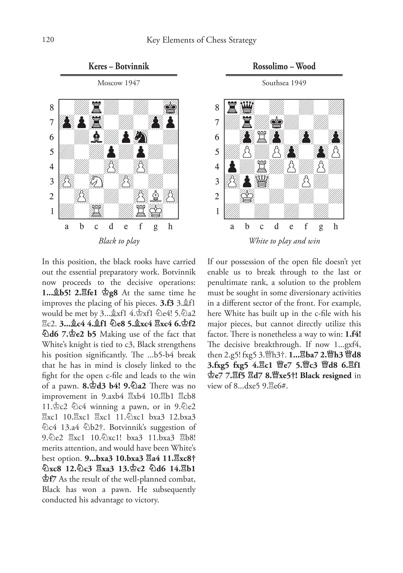
En este volumen, Lisitsin desglosa los fundamentos de la estrategia en categorías como la colocación de piezas, los intercambios, las debilidades y la profilaxis, seguidas de una sección sobre la elaboración de un plan estratégico, que incluye conceptos como el bloqueo, el debilitamiento, la iniciativa, las cadenas de peones y la planificación en la apertura.
Añade una caja de regalo, un grabado —o ambos— para que sea realmente especial.
Cómpralo con
El grabado de los juegos de ajedrez
€9,00
€10,00
Precisión tangible
Cada jugada refuerza la curiosidad, la concentración y la confianza en uno mismo.










