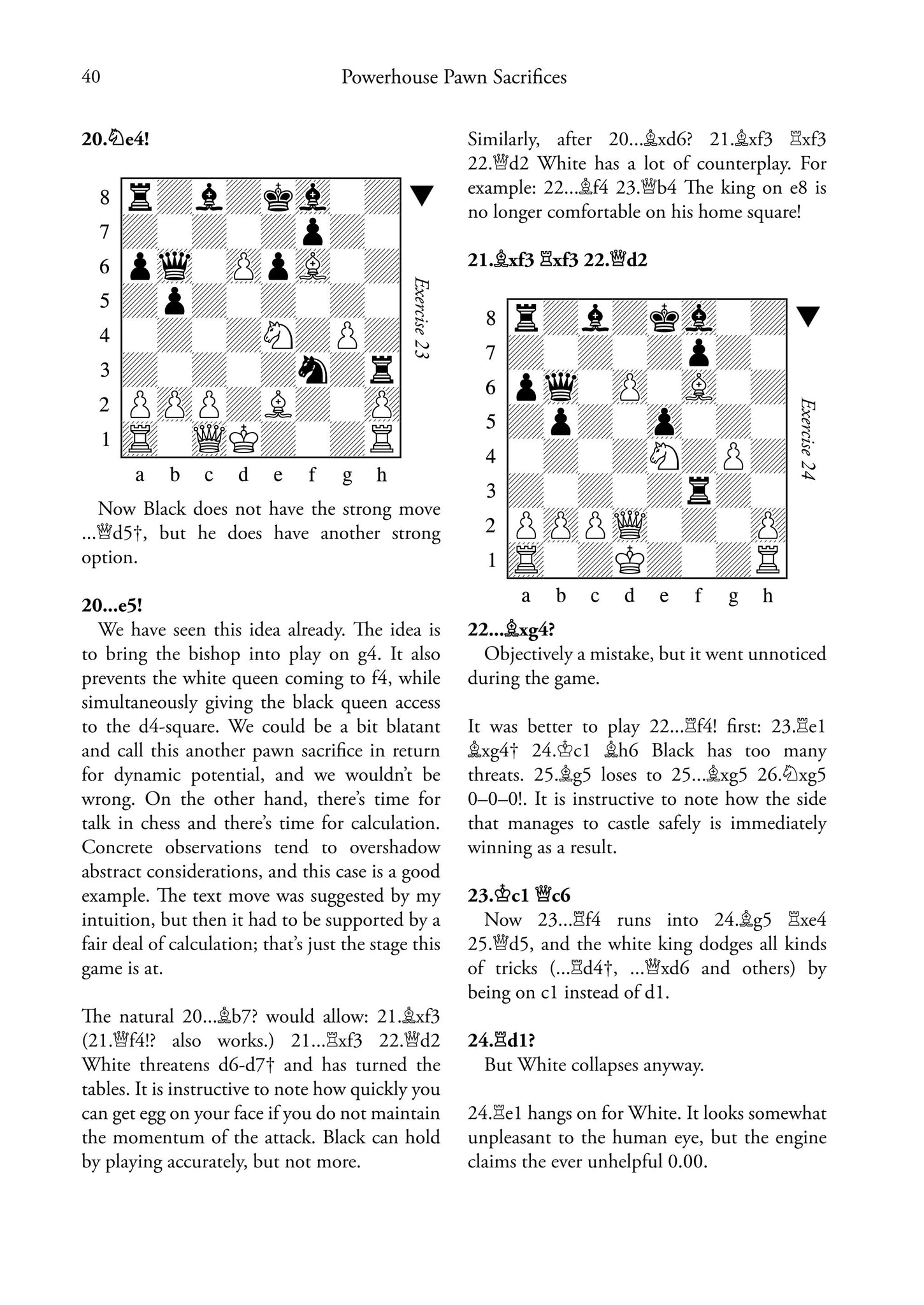
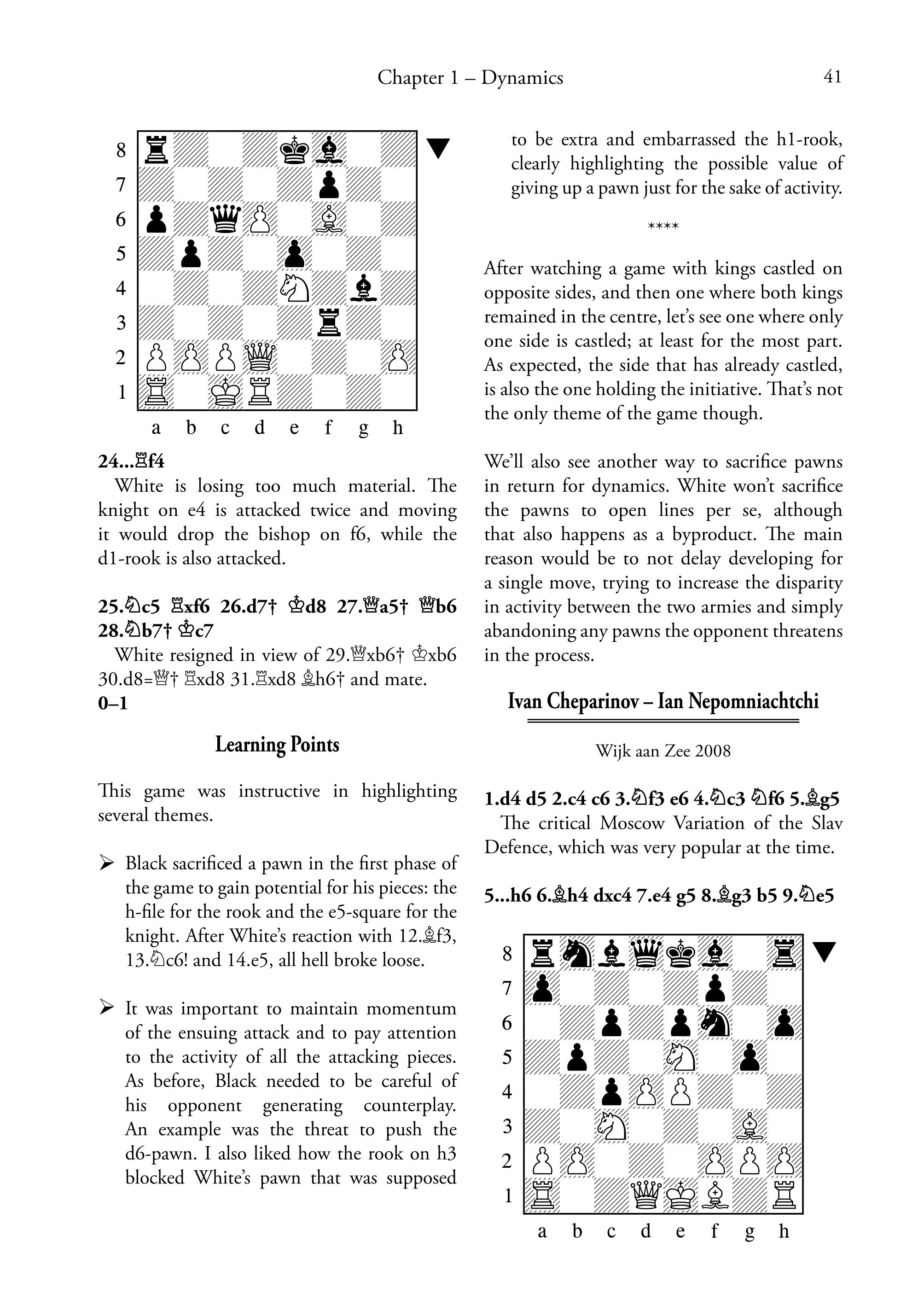
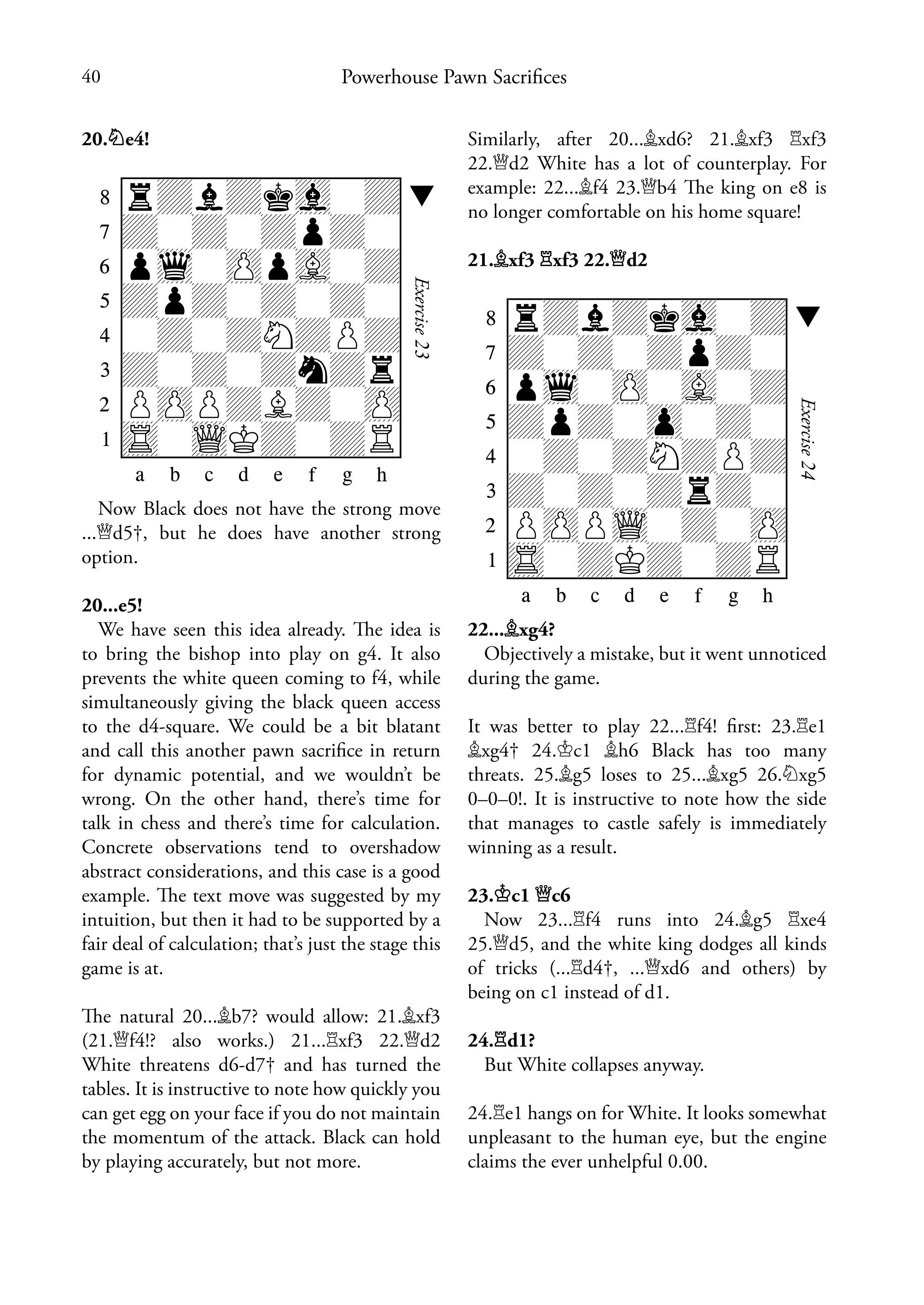
Powerhouse Pawn Sacrifices by Ivan Cheparinov (hardcover)
Cómo perder poco y ganar mucho en el ajedrez
Un peón es la unidad más pequeña del ajedrez, pero un sacrificio de peón bien ejecutado puede reportar grandes beneficios. Sin embargo, muchos jugadores rehúyen estas posibilidades cuando no están seguros de las consecuencias.
Powerhouse Pawn Sacrifices contiene todo lo que necesitas para dominar esta área crucial del ajedrez. Además de cubrir sacrificios dinámicos y a largo plazo, el gran maestro Ivan Cheparinov también analiza los sacrificios de peones que surgen en variantes específicas de apertura, conectando las diferentes fases del juego y compartiendo valiosos conocimientos que se pueden transferir a otros escenarios.
Añade una caja de regalo, un grabado —o ambos— para que sea realmente especial.
Cómpralo con
El grabado de los juegos de ajedrez
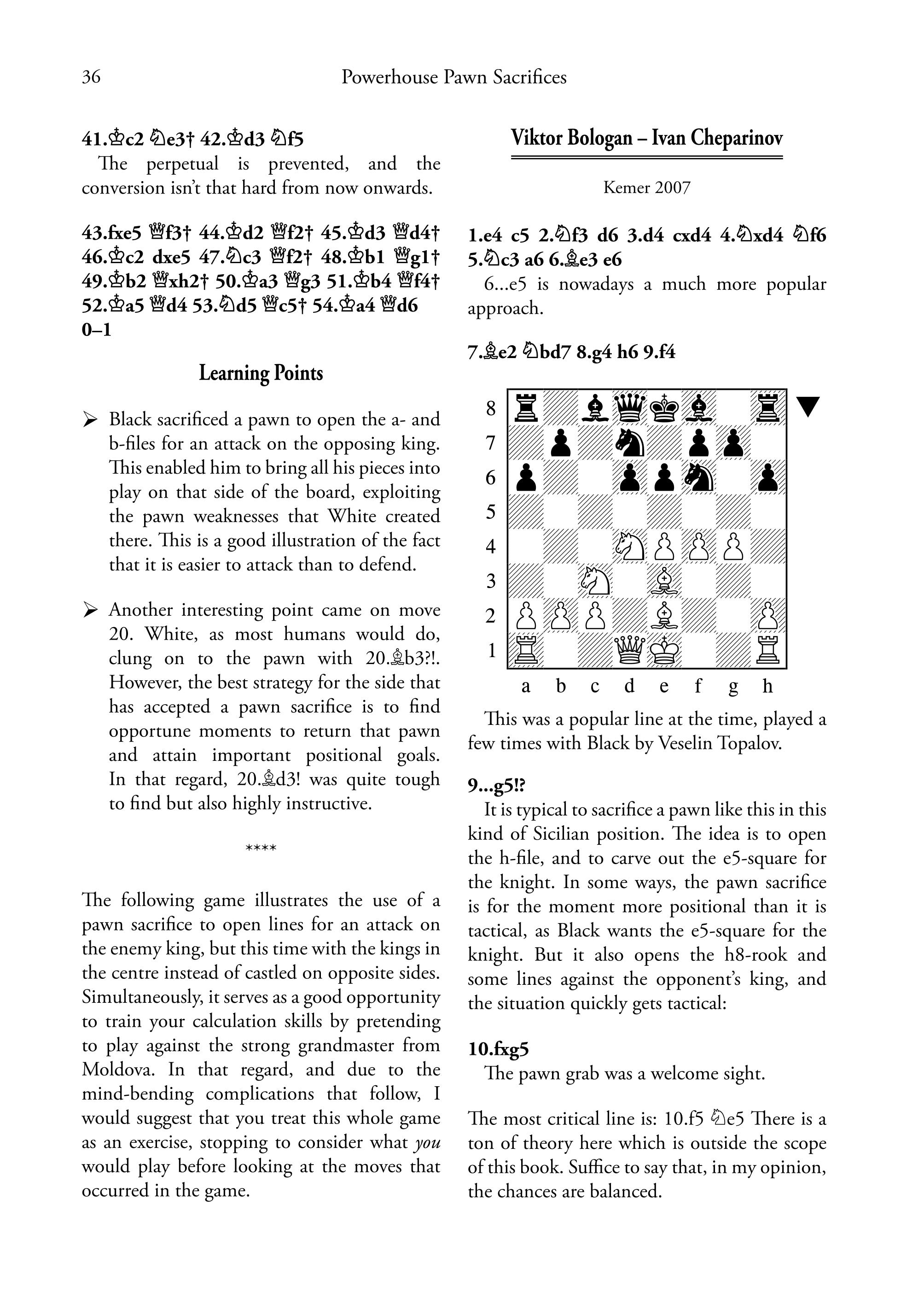
€9,00
€10,00
Precisión tangible
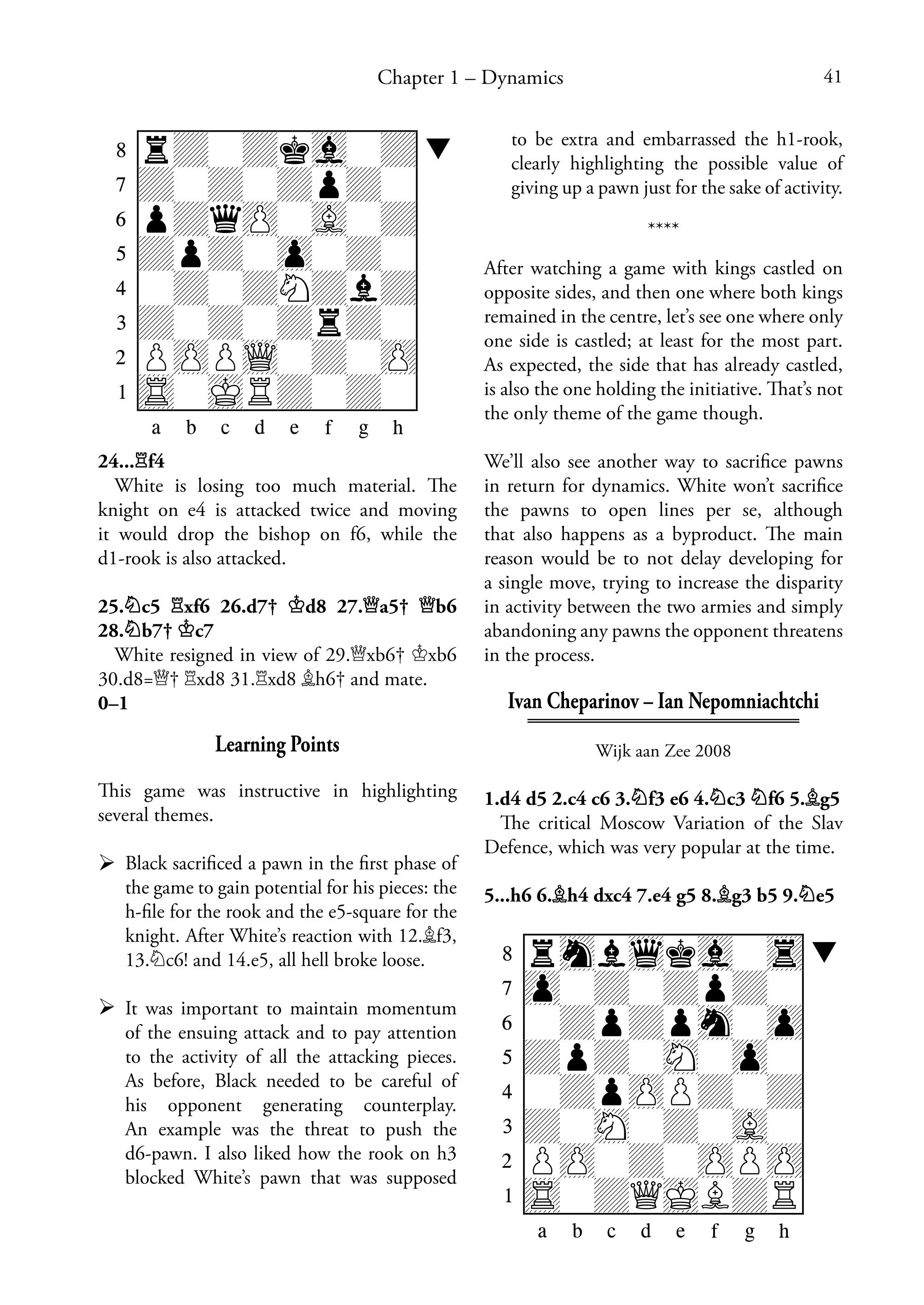
Cada jugada refuerza la curiosidad, la concentración y la confianza en uno mismo.















