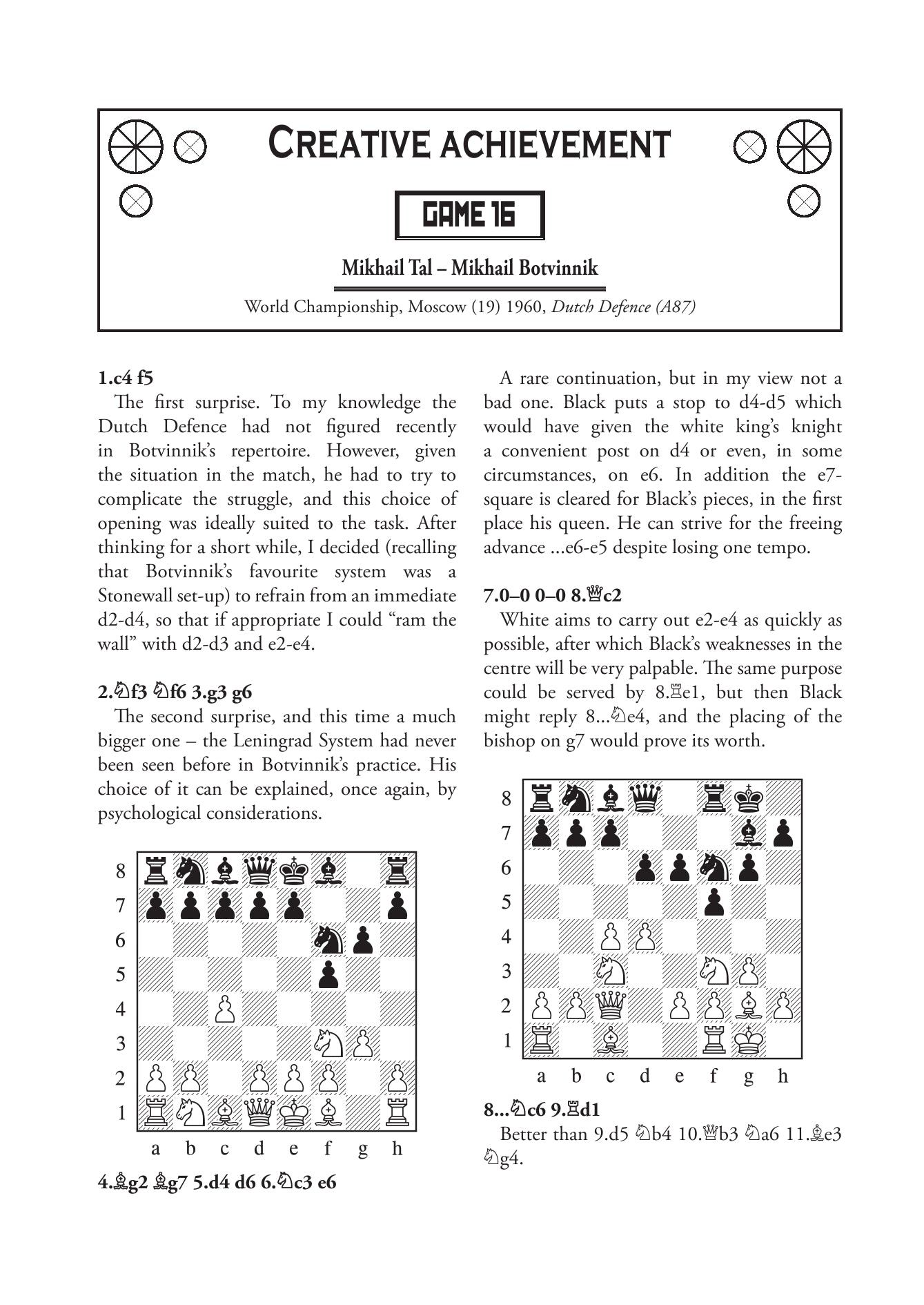
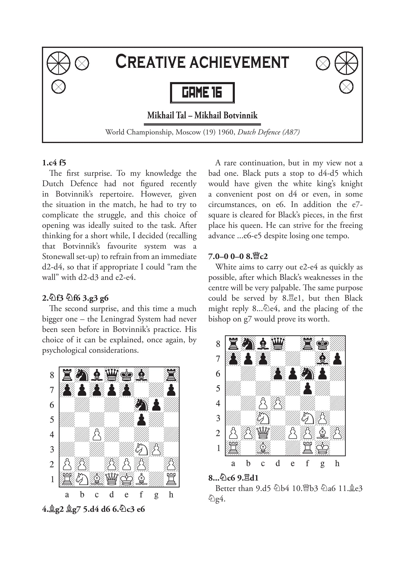
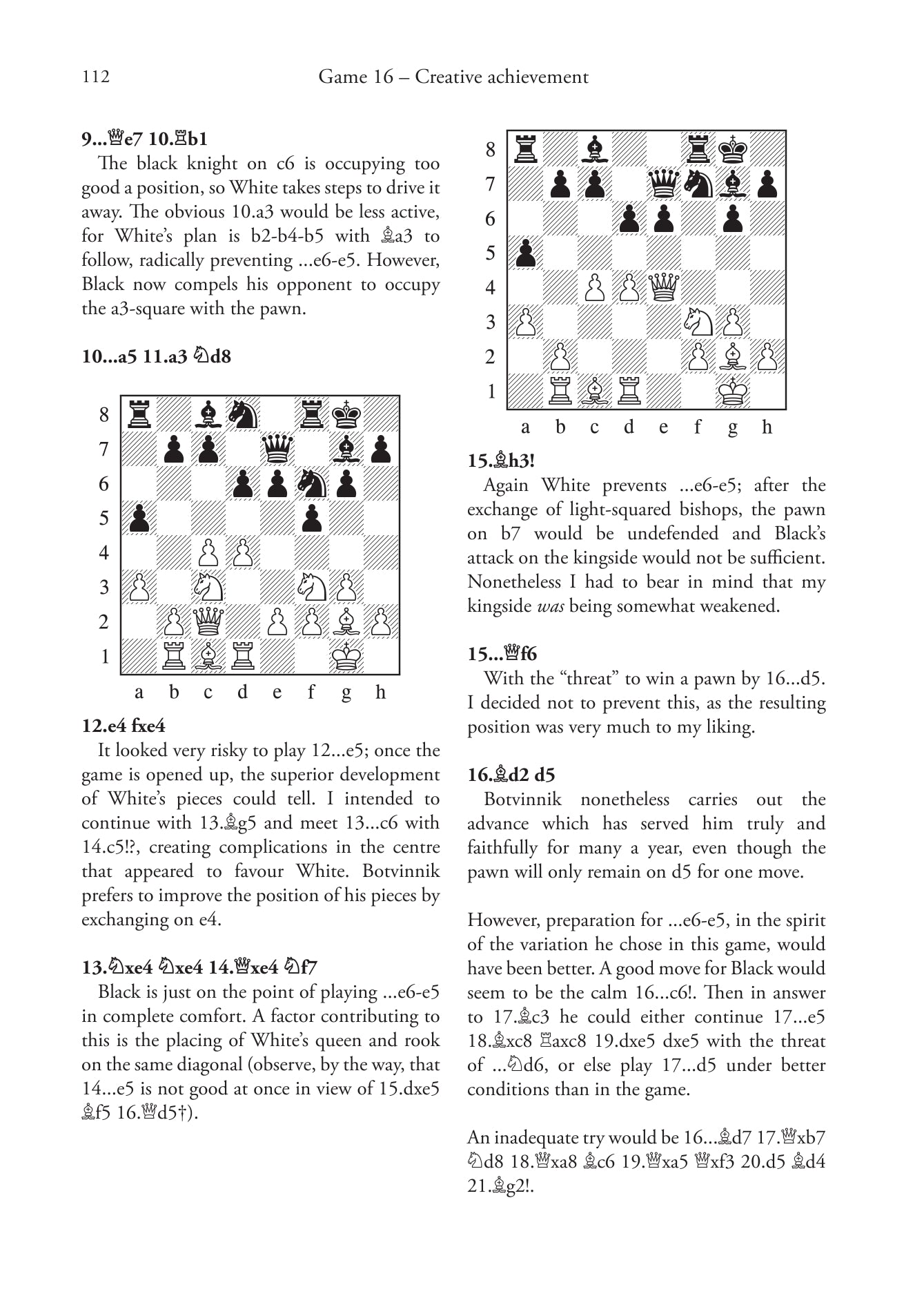
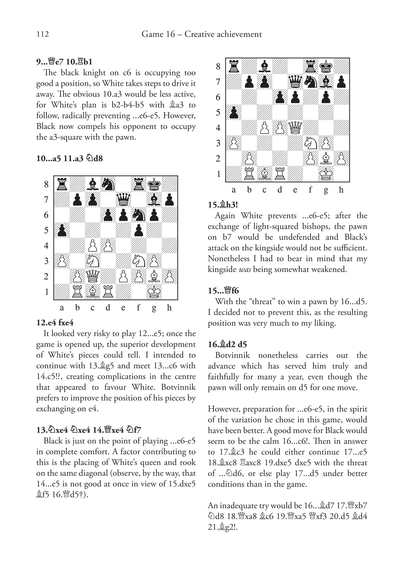
The Chess Alchemist by Mikhail Tal and Oleg Stetsko (hardcover)
Versión lingüística - Inglés.
Lanzamiento previsto (tapa dura) Otoño 2021
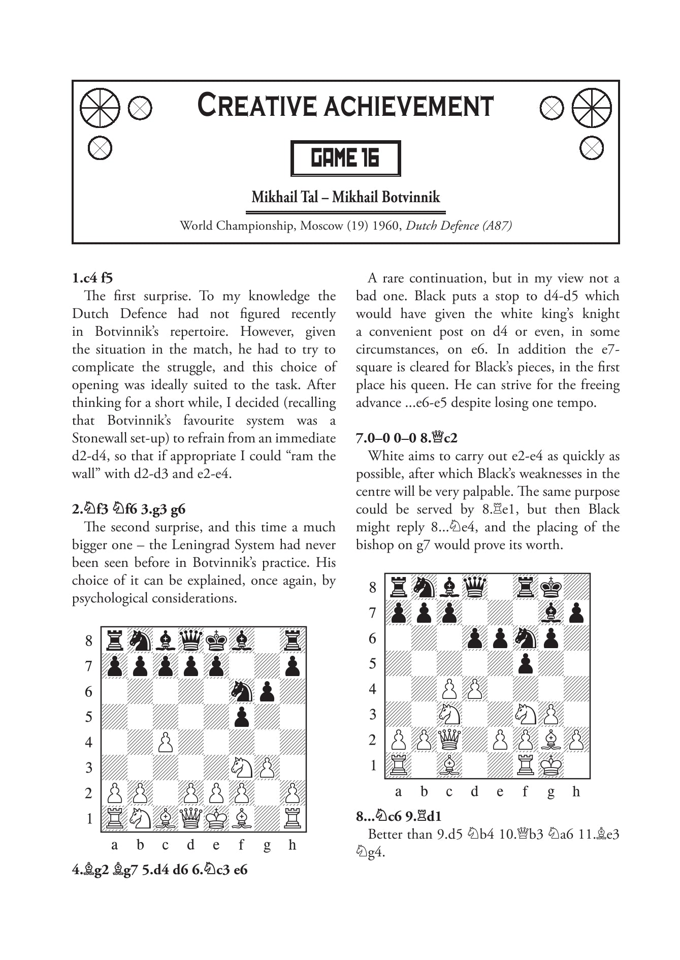
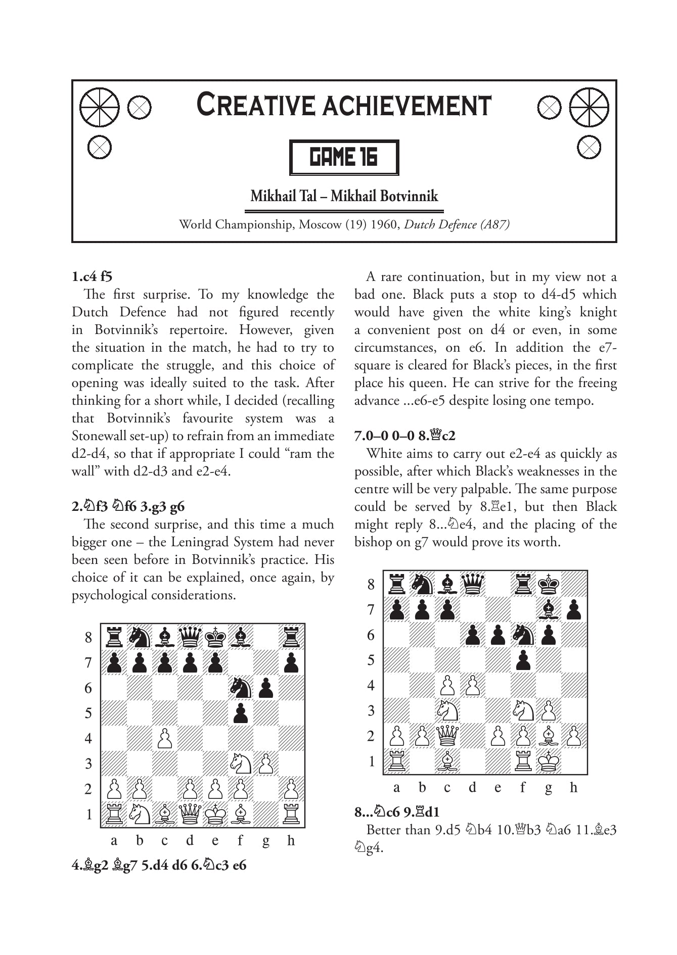
Mikhail Tal es uno de los campeones mundiales más célebres de la historia del ajedrez, que confundió a sus rivales y deslumbró a los aficionados de todo el mundo. Rompiendo aparentemente todas las reglas del libro, pero también batiendo récords con sus logros, Tal fue realmente El Alquimista del Ajedrez.
En este libro único, Oleg Stetsko ha recopilado 80 de las partidas más interesantes de Tal, anotadas por el propio mago en diversas fuentes, muchas de las cuales han sido traducidas al inglés por primera vez.
OlegStetsko es maestro nacional y célebre entrenador de ajedrez de la era soviética.
Añade una caja de regalo, un grabado —o ambos— para que sea realmente especial.
Cómpralo con
El grabado de los juegos de ajedrez
€9,00
€10,00
Precisión tangible
Cada jugada refuerza la curiosidad, la concentración y la confianza en uno mismo.










